Variational Auto Encoder
  z : latent variable
x : target data
  - z~p(z) : random variable
- $g_\theta$(.) : Deterministic function parameterized by $\theta$
- x = g(x) : random variable
- z vector는 controller 역할을 한다. (ex. 사람 얼굴에 화난 얼굴, 기쁜얼굴, 당황한 얼굴 조절 가능)
Intractable calculation issue

  - 실선이 generative model 인 $p_\theta(z)p_\theta(x|z)$이고, 점선은 $q_\theta(z|x)$를 이용해 근사할 $p_\theta(z|x)$이다.
- $p(z|x)$를 계산하기 위한 $p_\theta(x) = \int_z(p_\theta(x|z)p_\theta(z)dz$가 모든 z에 대해 적분 할 수 없기때문에 $q_\theta(z|x)$(입력 x)를 도입하여 계산한다.
Derivation 1

  - Concave 함수로 변환하기 위해 log를 씌운다.
- Jensen’s Inequality 를 사용하여 log를 안으로 넣어준다. ($f[E(x)] \ge E[f(x)]$)
- $q{_\phi}(z|x)$를 추가해 준다.
- 최종적으로 정리한 식은 $\log(p(x)$ 보다 작거나 같기 때문에 ELBO(evidence lower bound)라고 한다.
Derivation 2

  - 2번째 증명 공식은 $p(x) = p(x)$으로 시작 한다.
- z에 대한 확률분포의 모든 합이 1인 것을 이용하여 $p(x)$에 곱해준다.
- 조건부확률의 정의에 따라 $p(x)$를 바꿔준다.
- 증명 1과 같이 $q_\phi (z|x)$를 도입한다.
- 정리된 식의 앞부분은 ELBO와 같고 뒤에 있는 식은 KLD로 나타낼 수 있다.
- KL을 최소화 하는 $q_\theta(z|x)$를 찾으면 되지만 $p(z|x)$를 모르기 때문에 ELBO를 최대화 하는 $\phi$ 값을 찾아야 한다.
LOSS Function

Variational Inference ($\phi$)
\begin{align}
\log(p(x)) \ge E_{q{_\phi} (z|x)} [ \log (p(x|z))] - KL(q_\phi(z|x) |p(z)) = ELBO(\phi)
\end{align}
Maximum Likelihood ($\theta$)
\begin{align}
-{\sum}_i {\log(p(x_i))} \le -{\sum}_i { E_{q{_\phi} (z|x_i)} [ \log (p(x_i|g_\theta(z)))] - KL(q_\phi(z|x) |p(z))}
\end{align}
Optimization
\begin{align}
argmax_({\phi, \theta}) {\sum}_i -{E_{q{_\phi} (z|x_i)} [ \log (p(x_i|g_\theta(z)))] + KL(q_\phi(z|x_i) |p(z))}
\end{align}
  - ELBO를 maximize 하는 $\phi, \theta$를 찾는 것이 목표이다.
- $q_\theta(z|x)$는 Encoder이고, $g_\theta(x|z)$는 Decoder이다.
- Decoder를 학습시키기위해 Encoder를 도입하였다.
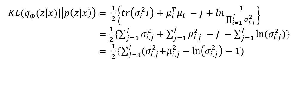
Regularization (Encoder)

  두 normal distribution 사이의 KL divergence
  - Encoder부분의 계산은 위 식처럼 계산 가능하다.
Reparameterization Trick

KLD까지 통과를 하고 이제 Decoder 부분으로 넘어가면 되는데 문제가 있다. $q_\theta ()$에서는 sampling을 진행하게 되며, z는 Gaussian distribution이므로 Backpropagation이 불가능하다.
\begin{align}
z^{i,j} = \mu_i +{\sigma{_i}}^2 \odot \epsilon
\end{align}
  - Gaussian distribution인 $z^{i,j}$에 약간의 변형을 준다.
- $\epsilon \sim N(0,I)$이기 때문에 같은 분포지만 Backpropagation이 가능하다.
Reconstruction Error (Decoder)


  - $L=1$인 경우의 식을 전개하면 아래와 같다.

  - 입력 x와 출력 $p_{i,j}$ 사이의 cross-entropy가 되는것을 볼 수 있다.
References
  오토인코더의 모든 것 - 2/3
ratsgo’s blog